• РЕГИСТРАЦИЯ
Обновить

Экология

Статьи, отмеченные меткой
Черника Вчера 21:04

Финны узнали, что в безветренные дни ветряки электричество не вырабатывают...

В Финляндии стоимость электричества побила рекорд - 38 евроцентов/кВт. Такова средняя стоимость на бирже.А с чего такая печалька? Вы будете ...
169
Варвара Волкова 26 января 14:24

Электрическая симфония и тени РАЦИРС: Как Дворкин не заметил конца света

В тишине наших клеток звучит музыка. Это не слышимая ухом мелодия, а безупречная симфония миллиардов электрических импульсов. Каждый электро...
137
Андрей 25 января 09:04

А мы точно не потеряем экологическую безопасность? Про Норильск и не только.

Взгляд, скажем так, сверху. Кто-то верит, что это естесственные природные цвета в водоёмах? Химики - не дайте соврать. ...
756

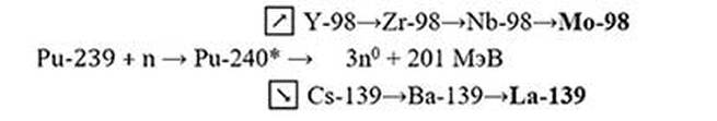
Война, мир и атом

Дементий БашкировВ данной работе предпринята попытка сделать оценку безопасности атомной энергетики России, указать на основн...
223
Алексей Тушин 22 января 17:15

А это уже не смешно

ООН заявила, что человечество вступило в эпоху «глобального водного банкротства». Планета столкнулась с глубоким кризисом, вы...
235

Этические вызовы создания ПГЗРО в Канаде: риски для будущих поколений

Тепло, исходящее от радиоактивных отходов, ощущается физически при входе на площадку хранения компании Ontario Power Generation на атомной э...
120

Солнечное электричество Маска и реальность

Обеспечение обитателей планеты Земля электроэнергией с помощью энергии Солнца потребует покрытия солнечными панелями территор...
784
Ardjuna Он оно как!
14 января 20:48

Китайские ветряные электростанции делают гораздо больше, чем просто производят электроэнергию

Страны всего мира выделяют огромное количество ресурсов на проекты, которые могут помочь уменьшить или частично восстановить ...
1517
Алексей Тушин 9 января 22:30

Ледник крадеца низаметна

Ледник Туэйтса, известный как ледник «Судного дня», начал активно смещаться. Чем грозит человечеству гигантский айсберг, площ...
478
sam88
4 января 12:52

Невидимая угроза: трещины в арктическом льду создали «бомбу» для человечества

В самом начале 2022 года в небо над Аляской поднялась масштабная научная экспедиция под названием CHACHA. На протяжении двух...
929

Тепловой купол: очередная угроза для человечества

В последние годы всё чаще можно услышать о таком явлении, как тепловой купол. Это не выдумка, а вполне реальное и опасное для...
269
Славик Яблочный
28 декабря 2025 г. 23:15

Сланцевый бум - итоги

Американские штаты-пионеры в области добычи сланца столкнулись с настоящей экологической катастрофой. Солёная вода и химикаты, которые закач...
508
sam88
28 декабря 2025 г. 22:21

Великая зеленая стена: зачем Китай сажает миллиарды деревьев в пустыне

За это время вдоль границ с Монголией, Казахстаном и Киргизией было высажено более 66 миллиардов деревьев, в ближайшие 25 ле...
478
Виктор Серебряковский 26 декабря 2025 г. 18:27

Альголизация против науки. Рекламные заявления и современный научный уровень.

В 2014 году XI Съезд гидробиологического общества Российской Академии Наук (ГБО РАН) признал метод альголизации ложным, нанос...
478
Игорь Верховцев 25 декабря 2025 г. 17:34

Альголизация - рекламы против научных данных. Борьба с сине-зелеными водорослями.

  Источник фото: https://fmp.conncoll.edu/silicasecchidisk/LucidKeys3.5/Keys_...В 2014 году XI Съезд гидробиологического ...
228
Игорь Верховцев 25 декабря 2025 г. 18:50

Альголизация -борьба против сине-зеленых водорослей в рекламе и по науке.

Рекламный постулат альголизации №7    За счет каких природных механизмов водоросль Хлорелла Вульгарис якобы подавляет в водое...
99
Варвара Волкова 17 декабря 2025 г. 13:14

Нанопластик: невидимый фактор, который меняет здоровье человека и устойчивость планеты

За последние десятилетия медицина шагнула далеко вперёд, однако парадокс очевиден: болезни «молодеют», хронические патологии становятся агре...
77
ВИВас Ядерная энергетика
8 декабря 2025 г. 11:56

Запуск первого в мире ПГЗРО в Финляндии снова перенесен

Министерство занятости и экономики Финляндии в третий раз продлило срок для вынесения регулятором заключения по заявке на эксплуатацию перво...
781

V. Разрушение Запада,(вручную), в картинках

Флот повсеместно приходит в негодность......
290
ostovandrey «Я Родился в СССР»
4 декабря 2025 г. 13:46

Забить окно в Европу - воняет жутко и распахнуть двери в Китай для процветания России

Русские деликатесы для Китая Русский деликатес вытеснил еду США из магазинов Китая. Продукты из РФ завоёвывают главный рынок п...
688

Что произойдёт, если Земля остановится на 1 секунду?

Представьте себе на мгновение, что Земля внезапно остановилась всего на одну секунду. Что произойдёт в этот краткий миг? Дава...
833
Alexyx 29 ноября 2025 г. 19:34

Разработан синтетический сорбент для сбора нефтепродуктов

Синтетический сорбент для сбора нефтепродуктов с поверхности воды представили в СПБГУ. У инновационного материала нет аналого...
411
ВИВас Ядерная энергетика
25 ноября 2025 г. 20:20

И целого урана мало: Россия возобновила переработку ядерного топлива из Франции

Агентство AFP сообщило, что Франция и Россия возобновили операции по вывозу отработанного французского ядерного топлива (ОЯТ - !!!) на росси...
1215
Alexyx 12 ноября 2025 г. 22:02

В Китае смогли извлечь редкоземельные минералы из живого растения

В Китае группа ученых обнаружила в папоротнике минерал естественного происхождения с редкоземельными элементами, это первый в...
341

В Москве теперь проверяют, не иноагент ли ты, прежде чем продать квартиру. Скан

Знакомый покупает в столице квартиру и поделился новым интересным пунктом, включенным в договор купли-продажи....
244
Ardjuna Он оно как!
10 ноября 2025 г. 12:09

Куда переехать в России, пока не стало поздно? Ученые назвали регионы-лидеры.

ОглавлениеКто в зоне риска?Арктика и зона вечной мерзлоты: Тающий мир.Куда тогда ехать?Южная Сибирь: Главный победитель.Климат меняется на г...
1883
Vya4esLove 10 ноября 2025 г. 08:11

Иран столкнулся с худшей засухой за последние 50 лет

Иран столкнулся с экологическим кризисом, масштабы которого начинают угрожать самой структуре общества. После многолетней зас...
267
Alexyx 9 ноября 2025 г. 10:57

Ученые разработали экологичную упаковку из рыбных отходов

Биопластик, полученный из отходов рыбной промышленности, не влияет на вкус и свойства упаковываемых продуктов, при этом защищ...
322

Ученые получили послание с «инопланетного корабля» // Иллюстрации - Околоземный юмор, с юмором и бесс (+18) ...

Ученые получили послание с «инопланетного корабля» // Иллюстрации - Околоземный юмор, с юмором и бесс (+18) ... Свершилось чуд...
702
Служба поддержи

Яндекс.Метрика